|
|
|
|
| The Chemist Volume 90 | Number 2 |

|
| |
|
A New Way to Obtain Risedronic Acid
|
| |
Abstract: A novel, facile, and convenient protocol for the synthesis of risedronic acid was developed involving two sequential reactions performed at room temperature. One of the main benefits of this approach is avoiding the use of hazardous and environmentally harmful halogenating agents. The mild reaction conditions and unexpectedly high catalytic activity of DMAP (4-dimethylaminopyridine) are the key elements that set this reaction apart from the majority of previous reports. The synthesis of risedronic acid was carried out in 76% yield and excellent purity (⩾99.9%). The sodium salt of this compound is one of the most frequently prescribed drugs used for the treatment of osteoporosis and other bone-related disorders.
Key Words: Green chemistry; Medicinal chemistry; Organocatalysis; Synthesis design; Synthetic methods
|
|
|
Introduction
Recent years of intensive research studies have proved that bisphosphonates (compounds based on a phosphorous-carbon-phosphorous spine) are gaining increasing interest in organic chemistry. This is a direct result of their unique chemical properties that make them affordable and suitable for many medical purposes. In general, their action to prevent the loss of bone mass is considered to be a key pharmacological effect in clinical use for the treatment of osteoporosis, Paget’s disease, hypercalcemia, and others. It bears emphasizing that these compounds are able to prevent several types of cancer from spreading to the bone. Some bisphosphonates exhibit direct apoptotic effects on cancer cells activating the γδ-T cell population which makes them attractive for the treatment of a broad spectrum of tumors [1].
The increased usage of these compounds underscores the research efforts aiming, in particular, to find useful and convenient methods for the formation of the crucial P-C-P moiety [2]. Since α-hydroxy-1,1-bisphosphonates were officially recognized as the most potent suppressors of bone resorption, many attempts have been made to obtain such compounds in a direct and efficient way. The traditional procedure involves the formation of an acyl chloride from the corresponding carboxylic acid using highly toxic PCl3, PCl5, POCl3, or (COCl)2, followed by a direct reaction with phosphorous acid [3] or trialkyl phosphite with acidic hydrolysis [4]. The latter requires high temperatures (100–1500C) and a harsh acidic environment to occur. The final, high-purity product is sometimes difficult to obtain since there is a number of side reactions that are also possible [5].
Recently, many attempts have been made to optimize the synthesis of N-heterocyclic dronic acids. Risedronic acid was synthesized by Keglevich et al. using phosphorous trichloride as the main reagent [6]. The final product was obtained after a short reaction time without using phosphorous acid. This method was presented in a review concerning the ‘greener’ synthesis of bisphosphonic acid derivatives [7]. However, the optimal reaction conditions still require the use of toxic PCl3 and high temperatures.
Another approach resulting in the synthesis of α-hydroxy-1,1-bisphosphonates was presented by Mustafa et al. The use of microwave irradiation in the place of conventional heating made it possible to reduce the reaction time to minutes instead of hours [8]. Although this method appears promising for large-scale industrial processes, it is relatively expensive.
An alternative synthetic procedure, proposed by Lecouvey et al., proceeds with the use of tris(trimethylsilyl) phosphite and an acyl chloride [9]. Although this one-pot reaction was effective for a wide variety of starting substrates in producing unsymmetrical α-hydroxy-1,1-bisphosphonates, an initial preparation of an acyl chloride puts the safety and general validity of this method at risk. A need to use toxic and harmful halogenating agents in large amounts makes it a questionable choice for ‘going green’ and creating a convenient, sustainable method for the synthesis of bisphosphonates.
A particularly interesting approach toward the formation of α-hydroxy-1,1-bisphosphonic acids was made by Egorov et al. in 2011 [10]. It is still the only current method that provides these compounds without using any halogenating agents. They use 1.1, 2.1, or 3.1 equivalent amounts of catecholborane followed by an addition of tris(trimethylsilyl) phosphite, which gave the expected product after smooth methanolysis and purification in 51-86% yields. However, there are some downsides of this reaction that make it a less than an ideal choice. First, catecholborane is highly flammable, reacts violently with water, and may cause severe burns upon skin contact. It must be added in at least stoichiometric amounts and cannot be reused under reaction conditions. Second, gaseous hydrogen is formed in the first step of this reaction, which is what makes it even more dangerous and flammable. Finally, Egorov et al. proved that the use of any other nucleophile than the expensive tris(trimethylsilyl) phosphite does not lead to the expected product.
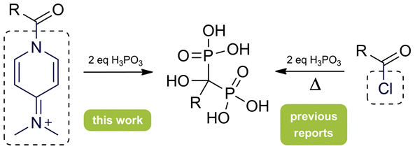
Prompted by this background, we proposed a simple method for the preparation of risedronic acid starting from corresponding carboxylic acid. Following the approach described by Bartoli et al. [11], we obtained 3-pyridylacetic anhydride and examined its reactivity with phosphorous acid as a simple, cheap, and insensitive nucleophile after the activation with 4-(dimethylamino)pyridine (DMAP) used in catalytic amounts.
Results & Discussion
We used 3-pyridylacetic acid as the starting material since there was no 3-pyridylacetyl halide commercially available. At first, we synthesized 3-pyridylacetic anhydride 1b based on the reaction of 3-pyridylacetic acid 1a with di-tert-butyl dicarbonate in the presence of catalytic amounts of anhydrous magnesium chloride [11] (Scheme 1). Tetrahydrofuran was chosen as the solvent to maximize the product yield by minimizing the possibility of ester formation. As the reaction time elapsed, the mixture was then filtered and the crude product was washed successively with THF to remove soluble by-products (e.g., alcohol) that might have a negative impact on the second step of this process.

Scheme 1. Synthesis of 3-Pyridylacetic Anhydride Based
on
the Method Proposed
by Bartoli et al. [11] |
In our ongoing program on the synthesis of bisphosphonates from carboxylic acids, we required a simple method to obtain such compounds without using any halogenating agents. We achieved this by employing catalytic amounts of DMAP, which acts as a strong nucleophile and an acyl transfer reagent in a number of different applications [12]. As observed in the related process, i.e., Yamaguchi esterification [13], the newly formed intermediate is susceptible to nucleophilic acyl substitution under mild conditions; it is suggested that the reason for this is that DMAP reacts with anhydrides, leading to reactive amides (Scheme 2).

Scheme 2. Nucleophilic Acyl Substitution with H3PO3 |
Prompted by the similarity of the chemical structure of the intermediate and an acyl chloride used in the typical α-hydroxy-1,1-bisphosphonic acid synthesis, we explored the effects of the nucleophilic substitution on the intermediate with phosphorous acid. In view of the fact that DMAP adds to an acyl group to form a much better leaving group than any of the halogens, and that phosphorous acid is a stronger nucleophile than alcohol, we assumed that no heat was necessary for this process to occur. As a result, we allowed the reaction to reach completion at room temperature. The use of cheap and widely accessible phosphorous acid made it possible to afford the expected product in 76%.
The product was washed with cold water and ethanol to eliminate the remaining impurities according to the method presented by Kieczykowski et al. [14]. This step allowed us to obtain a white powder which was identified by using 1H NMR (1H Nuclear Magnetic Resonance) and 31P NMR (31P Nuclear Magnetic Resonance). The 31P NMR spectrum shows a single peak at 16.28 ppm which corresponds with that observed for risedronic acid by other authors. What is more, the chemical shifts in the 1H NMR and 31P NMR spectra seem concordant with those reported by Srinivasa Rao et al. [15]. The 1H NMR and 31PNMR spectra were measured at pH 5.5. The purity of the final product (≥99.9%) was confirmed by using high-performance liquid chromatography. The insights gained from the FTIR (Fourier Transform Infrared Spectroscopy) and HRMS (High Resolution Mass Spectrometry) studies are complemented. The findings of this work suggest that our reaction provides better solutions than the existing approaches, in terms of both energy consumption and environmental impact.
Conclusions
In summary, our results are of interest for a few reasons. First, we synthesized risedronic acid in a simple, room temperature reaction starting from corresponding carboxylic acid. Second, the elimination of harmful halogenating agents, which react violently with water, provides a cost-effective and environmentally benign technique that meets criteria of industrial ecology. The main, second step of this process is the DMAP-catalyzed activation of the anhydride followed by the reaction with phosphorous acid as the mild phosphorous-containing nucleophile. The addition of a second equivalent of H3PO3 results in the formation of the desired product in 76%.
Finally, the promising results encourage us to follow this method in further studies. Future work will focus on the synthesis of risedronic acid by using a polymer-bound equivalent of DMAP (e.g., commonly used PS-DMAP), which has been employed as a catalyst for acylation and related reactions [16]. This would lead to the formation of the desired product by a simple ‘Catch and Release’ approach, eliminating the problem of removing DMAP from the solution. The application of the polymer-bound DMAP catalyst, thanks to its high reusability, could help to minimize the amount of chemical waste. We believe that this unique combination would provide a valuable contribution towards making the synthesis of risedronic acid even greener.
Experimental
All chemicals were purchased from Sigma-Aldrich (Poland) as high or the highest purity grade and were used without further purification. The melting point was measured using a Stuart Scientific SMP10 melting point apparatus. The FTIR spectrum was recorded on a Bruker VERTEX 70 spectrophotometer in KBr. 1H NMR spectra were measured at pH 5.5 and ambient temperature on a Bruker AscendTM 400 MHz spectrometer using TMS as the internal standard and D2O as the solvent. Data was recorded as follows: chemical shifts in ppm on the δ scale, number of equivalent nuclei (by integration), multiplicity (s – singlet; d – doublet; t – triplet; m – multiplet), and coupling constant. The 31P NMR spectrum was performed at pH 5.5 and ambient temperature on a Bruker AscendTM 600 MHz spectrometer using D2O as the solvent. Mass spectrometry data was determined using an API 4000 QTRAP triple quadrupole mass spectrometer from AB Sciex. High-performance liquid chromatography was carried out on an HypersilTM ODS C18 column (250 mm × 2.1 mm, particle size 5 μm) (Thermo Fisher Scientific) using an HP Agilent 1100 (Hewlett Packard) HPLC (High-Performance Liquid Chromatography). The temperature of the column was maintained at 240C in all cases.
General Procedure
3-Pyridylacetic acid hydrochloride (5.76 mmol), anhydrous magnesium chloride (0.576 mmol), and tetrahydrofuran (10 mL) were charged to a 50 mL two neck flask equipped with a stirring bar. After 10 min of stirring at room temperature, di-tert-butyl dicarbonate (2.88 mmol) was added through a dropping funnel. Then, the mixture was stirred at room temperature for 48 h at air atmosphere.

Fig 1. 1H NMR Spectrum of the Synthesized Product |

Fig 2. 31P NMR Spectrum of the Synthesized Product |
After this time, the crude product was separated by vacuum filtration and washed twice with tetrahydrofuran (2 × 2.5 mL). The resulting powder was charged with 4-(dimethylamino)pyridine (DMAP, 0.461 mmol) and tetrahydrofuran (10 mL) to a 50 mL two neck flask and stirred for 10 min. As the time elapsed, phosphorous acid (11.52 mmol) was added while stirring vigorously. After 24 h, the product was filtered and washed with cold water and ethanol according to the method applied by Kieczykowski et al. [14]. Finally, the purified white powder was dried under air atmosphere at 800C.
1-Hydroxy-2-(3-pyridyl)ethylidene bisphosphonic acid (risedronic acid) [15,17]. Obtained as white powder in 76% yield; m.p.: 225-2280C, HPLC purity: ≥99.9%. FTIR (KBr, cm-1) 3379, 309, 2149, 2035, 1637, 1566, 1475, 1446, 1396, 1332, 1213, 1072, 1026, 933, 889, 815, 800, 692, 667, 628, 607, 563, 532. 1H NMR (400 MHz; D2O; Me4Si) δ 8.68 (s, 1H), 8.51 (d, J=7.7 Hz, 2H), 7.86 (m, 1H), 3.38 (t, J=12.1 Hz, 2H). 31P NMR (600 MHz; D2O) δ 16.28. HRMS m/z 284.3 ([M+H]+, 100%; calculated: 284.12)
Risedronic acid is a well-known compound and was characterized by comparing the FTIR, 1H NMR (Figure 1),
31P NMR (Figure 2), and HRMS spectroscopic data with authentic samples reported in the literature.
HPLC Condition Methods
HPLC Condition Method I. The optimized mobile phase was composed of methanol (solvent A), acetonitrile (solvent B), and 25 mM dibasic sodium phosphate/citrate buffer, pH 3.5 (solvent C) and was delivered by a gradient mode. A flow rate of 0.6 mL/min and injection volume of 1 μL were used for this experiment. UV detection was performed at 264 nm. A single peak at the retention time of 0.85 min was reported.
HPLC Condition Method II. The optimized mobile phase was composed of methanol (solvent A), 20 mM ammonium acetate in 80% aqueous acetonitrile (solvent B), and 25 mM dibasic sodium phosphate/citrate buffer, pH 3.5 (solvent C) and was delivered by a gradient mode.
A flow rate of 0.5 mL/min and injection volume of 1 μL was used for this experiment. UV detection was performed at 264 nm. A single peak at the retention time of 1.037 min was reported.
Acknowledgments
We would like to thank Dr. Joanna Zembrzuska for the HRMS analysis. This work was supported by the National Science Centre (Poland) under grant No. 2013/11/D/ST4/02829.
References
- Nancollas GH, Tang R, Phipps RJ, Henneman Z, Gulde S, Wu W. Bone, 2006, 38, 617–627.
- Chmielewska E, Miszczyk P, Kozłowska J, Prokopowicz M, Młynarz P, Kafarski P. J. Organomet. Chem., 2015, 785, 84–91.
- Abdou WM, Shaddy AA. ARKIVOC, 2009, 9, 143–182.
- Kumar NP, Singare D, Pradhan NS, Valgeirsson J. US Patent Number 0317859 A1, 2010.
- Prentice JB, Quimby OT, Grabenstetter RJ, Nicholson DA. J. Am. Chem. Soc., 1972, 94, 6119–6124.
- Keglevich G, Grün A, Aradi K, Garadnay S, Greiner I. Tetrahedron Lett., 2011, 52, 2744–2746.
- Kovács R, Grün A, Garadnay S, Greiner I, Keglevich G. Green Process Synth.,2014,3, 111–116.
- Mustafa DA, Kashemirov BA, McKenna CE. Tetrahedron Lett., 2011, 52, 2285–2287.
- Lecouvey M, Mallard I, Bailly T, Burgado R, Leroux Y. Tetrahedron Lett., 2001, 42, 8475–8478.
- Egorov M, Aoun S, Padrines M, Redini F, Heymann D, Lebreton J, Mathé-Allainmat M. Eur. J. Org. Chem., 2011, 35, 7148–7154.
- Bartoli G, Bosco M, Carlone A, Dalpazzo R, Marcantoni E, Melchiorre P, Sambri L. Synthesis, 2007, 22, 3489–3496.
- Strekowski L, Fernando N, Paranjpe S. in Pyridines: from lab to production, ed. E. Scriven, Elsevier, Amsterdam, 2013, ch. 8, pp 517–529.
- Inanaga J, Hirata K, Saeki H, Katsuki T, Yamaguchi M. Bull. Chem. Soc. Jpn., 1979, 52, 1989–1993.
- Kieczykowski GR, Jobson RB, Melillo DG, Reinhold DF, Grenda VJ, Shinkai I. J. Org. Chem., 1995, 60, 8310–8312.
- Srinivasa Rao DVN, Dandala R, Lenin R, Sivakumaran M, Shivashankar S, Naidu A. ARKIVOC, 2007, 14, 34–38.
- Tomoi M, Akada Y, Kakiuchi H. Macromol. Chem. Rapid Commun., 1982, 3, 537– 542.
- Pulla RM, Usha RV, Venkaiah CN. World Patent Number WO2007026379 A2, 2007.
|