|
|
|
|
| The Chemist Volume 92 | Number 1 |

|
| |
|
Animals & The Great War: The Poisonous Cloud Casualty Statistics
|
| |
Abstract: Famed for trench and gas warfares, The Great War engaged 17 million animals. Horses made up 16 million; the remaining million was an admixture, primarily mules, donkeys, cats, dogs, camels, pigeons, canaries, and goldfish. In the war between the Allied Powers (England, France, Russia) and Central Powers (Germany, Austria-Hungary, Ottoman Empire, Bulgaria), animals transported goods, moused trenches, carried messages, assisted medics, were war mascots, and detected Cl-based gases. Having survived bomb and gas, the canine mascot, Rags, would warn of impending shell attacks by flopping over on his side! This research was initially inspired by Franz Marc’s woodcut print, The Birth of Horses (Geburt der Pferde), on exhibit at LACMA in 2018. The artist did not survive the war. Further research revealed the contemporaneous photograph, German Soldiers and Donkey wearing gas masks [1]. Upon subsequent research, enter Lutz Haber's opus, The Poisonous Cloud, which featured a typeset plot of casualties versus number of gas shells launched. After reconstructing the original data, the final regression analysis was a second order model (R2=0.62 p-value<0.001) that eclipsed the original (R2=0.27). This paper explores one confluence of the interrelated animals, art, history, and chemistry, thereby also illuminating the statistical model.
Key Words: Animals and The Great War, The Great War Art, gas shells casualties The Great War, animal gas masks The Great War, regression analysis, Lutz Haber Fritz Haber, chemical warfare, Spanish flu and Étaples
|
|
|
Introduction
The Great War raged from 1914 to 1918 between the Allied Powers (England, France, Russia) and the Central Powers (Germany, Austria-Hungary, Ottoman Empire, Bulgaria). Additional nations entered, exited, and switched sides over the course of the war. Further, imperialist possessions, by extension and impressment, became ensnared. The war is particularly famous for featuring trench and gas warfares. Then-novel inventions employed in the war included airplanes, submarines, tanks, and machine guns.
The Armistice of 11 November 1918 at 11:11 ended fighting with Germany. Word only reached German East Africa on 14 November, and, even then, the conflict continued there until confirmation was received 25 November. The Treaty of Versailles on 28 June 1919 officially ended the war. Separate armistices and treaties ended the war with Bulgaria, the Ottoman Empire, and Austria-Hungary.
Artists were among the casualties of the war. The Birth of Horses (Geburt der Pferde), with the primal creation of horse as expressionist Franz Marc (1880-1916) envisioned from the Book of Genesis [2,3], was on exhibit at Los Angeles County Museum of Art (LACMA), in 2018. His philosophy was to paint horses “wie sie wirklich sind” [as they really are], not as humans see them [4,5]. During the Great War, Marc was a cavalry messenger [6,7]; he also painted anti-aerial camouflage after Claude Monet and Wassily Kandinsky [8]. Marc was among the artists slated to be withdrawn from battle, but the order was transmitted too slowly [6]. Whilst reconnoitering on horseback at Verdun, a grenade shard fatally struck him [9,7]; his chestnut mare, Eva, survived, however [7]. Geburt der Pferde had been part of Marc’s contribution to an illustrated Bible project that included Kandinsky, Oskar Kokoschka, Paul Klee, and others [3,7]; the collaboration was left unfinished [3].
Another artist of that era, animal sculptor, Rembrandt Bugatti (1884-1916), was also a victim. He and the animals of Le Zoo d’Anvers / ZOO Antwerpen [The Antwerp Zoo] were friends. Once he arranged for the zoo’s two Senegalese bushbuck antelopes to be transported to live with him in his Paris apartment. Although some also lived in the Paris zoological gardens, he bonded with these two, specifically. The pair became his muses and posed for his unique life-size bronze, Mes Antilopes [My Antelopes] (1908). Four months later, upon shipping the herd of two back to Anvers, he wrote that he considered them his companions and was coping with separation [10]. Truly, they were ses antilopes [his antelopes].
In 1914, the German-imposed Siège d’Anvers [Siege of Antwerp] caused food shortages, forcing the zoo to disperse or destroy the animals. Overwhelmed by depression, Rembrandt Bugatti penned this poetically-formatted enjambed entry in his notebook [11]:
“when even my elephants forgot where to go to die.”
Rembrandt Bugatti turned on the gas in his studio and died by suicide. Musée D’Orsay houses 82 of his works [12]. Posthumously, Rearing Elephant (1904) became the ubiquitous Bugatti Royale hood ornament selected by his brother, Ettore (1881-1947), originator of the automobile company [10].
Animals were fundamental to the Great War, especially the 16 million horses, of which only half survived [13]. Field Marshal Douglas Haig, commander of the British Expeditionary Force (BEF) asserted that with more horses, the Allies would have won faster [14]. Simultaneously, he contended that had Germany possessed more equines, they would have prevailed. Overseas horse remounts were not possible for Germany because the British dominated the seas [15].
There were other beasts of burden, 500k cats [16], and 100k dogs [17]. France raised dairy buffaloes [18]. Canaries, rabbits, and mice were carbon monoxide sensors in tunnels [19]. Goldfish tested for residue in runoff water from gas mask cleanings [20]. Pigeons, capable of carrying messages in flight at 114 miles per hour, were placed in baskets for repositioning to the front by dogs [21]. Also encountered, en passant, for example, in East Africa, were rhinoceroses, hippopotamuses, impalas, and giraffes. Uninvited were lice, trench mice, rats, tsetse flies, and Anopheles mosquitoes.
War mascots were an amalgamation of aspects of modern therapy animal, pet, and soldier. Some were rescued stray dogs and cats [22]; others were goats, kangaroos [21], lions, tigers, and bears. One mascot could be with one human, an entire regiment, or even shared by opposing sides! Famous mascots were the black bear cub, Winnie, from Winnipeg, Canada (inspiration for Winnie-the-Pooh), and dogs Rin Tin Tin, Lassie, Rags, and Sergeant Stubby.
The Escadrille Lafayette, a group of 38 American volunteer pilots within the French Service Aéronautique [23], acquired four-month-old lion cub, Whiskey [24]. A year later, sensing his desire for companionship, the unit adopted a lioness cub, Soda [25]. Whiskey and Soda were the best friends of the squadron flying ace [26]! Ultimately, the pride of two was donated to the Ménagerie du Jardin des Plantes in Paris [24].
In 1922, the Great Britain War Office published Statistics of the Military Effort of the British Empire During the Great War, 1914-1920. From a limited printing of 250 copies, one extant was donated by the Estate of the late Lady Kemp to the Library of the University of Toronto, and subsequently digitized. The book presents data for both humans and animals.
Sections of the book detailed the remounts and veterinary care. In 1916, for example, the extraordinarily high horse and mule losses in East Africa peaked at 289.5%, due to the tsetse fly. Because rates represented mortality based upon the population at the start of the year, it was >100% due to remounts which continuously repopulated ongoing casualties. A 30 November 1918 census of animals totaled 791,696, cross tabulated by country and by animal species and function [27].
Though modern gas warfare was first unleashed in the Great War, it had been considered a half-century earlier for the Crimean War (1853-1856). The British government solicited Michael Faraday for his opinion; he refused on moral grounds [28].
Motivated by the potential horror, both Hague Peace Conferences endeavored to ban such in war: in 1899, “s’interdiction de l’emploi des projectiles qui ont pour but unique de répandre des gaz asphyxiants ou délétères” [self-prohibition of the use of projectiles purely used to spread asphyxiating or deleterious gases] (Scott, 1918, p.225), and, in 1907, “il est notamment interdit: a. d'employer du poison ou des armes empoisonnées” [in particular, it is prohibited: a. use of poison or poisoned weapons] (Scott, 1918, p.116) [29].
The ambitious goal of prohibiting things not yet invented, perforce, led to loopholes, intentional or unintentional. Such apertures for treaty circumvention were exploited by a variety of strategies, such as: cofilling gas shells with high explosives (HE) so as to render the purpose non-unique, releasing non-projectile gas clouds, and selecting irritants not classified as asphyxiating or deleterious [30].
Part of the allure of gas for the Great War, perhaps, was the very nature of the trench: an open vessel awaiting filling. In August 1914, the first gas used was by France [30]: ethyl bromoacetate (C4H7BrO2) in fusils lance-cartouches eclairante [gas-diffusing rifle cartridges] and grenades suffocante [suffocating hand grenades] [31]. The concentration of the lachrymator was intentionally kept too low to be deleterious [31]. However, because the filling was only an estimated 19 ml per cartridge, it also rendered it ineffective and even undetected [32].
The first effective use of gas was by Germany of chlorine at the Second Battle of Ypres on 22 April 1915. Fritz Haber, the future 1918 Nobel laureate for nitrogen fixation from air, had also developed chlorine gas as a weapon: a chlorine cloud carried by wind after release from canisters. He gathered three future Nobel laureates as assistants (chemist Otto Hahn, physicists James Franck and Gustav Hertz) [33] and personally surveyed the battleground an hour after the cloud had departed [32]. Haber cited the moral defense that response to first gas use by France was permissible [33,30].
A variety of gases were deployed, often by shells, perhaps most notably chlorine (Cl2), phosgene (COCl2), and mustard (C4H8Cl2S). Some shells contained multiple gases, with and without HE, in a variety of permutations.
Prentiss (1937, p.653) estimated total gas casualties at 1.3 million, including 91,198 deaths, dominated by 475,340 and 56k Russian, respectively [34]. This is the baseline assessment.
Post-Czarist Russia’s Narkomzdrav Commissariat (НAPодный KOMиссариат ЗДРABоохранения [People’s Commissariat of Health], acronym: НAPKOMЗДРAB [Narkomzdrav]) disputed the numbers and estimated its gas casualties to have been 90% less (40k total including 6340 deaths) [35]. Substitution into the baseline estimate gives 862k total gas casualties, including 42k deaths. The combined gas and non-gas figures recalculate to 28.1 million total casualties, including 8.3 million deaths. Gas represented 0.50% of all deaths, and nearly 5% of those gassed and symptomatic, died.
At Ypres, the German troops wore crude respirators: mouth pads bathed in sodium thiosulfate (Na2S2O3) and taped in place [32]. Rapidly, this evolved into more sophisticated protective gas masks of increasing capability. In January 1916, the BEF issued the PH (Phenate-Hexamine) helmet, consisting of flannel immersed in a solution of phenol (C6H5OH), hexamine (C6H12N4), caustic soda (NaOH), and glycerine (C3H8O3) [36,48]. In May 1916 [32], a prototype was finalized of the Small Box Respirator (SBR), the best British gas mask [37]; eventually, 13 million would be issued [32].
From July 1916 until the end of the war, British animals suffered 2431 total casualties from gas, of which 211 were fatal (8.68%) [18]. The French brigade commander during the Ypres chlorine gas attack, Henri Mordacq recounted, “Soon we had to dismount, because the horses, bothered and affected by this, refused to gallop or trot” [30].
In response, a variety of horse masks were developed [18]. As reported in February 1918 [38], the new British horse respirator was an over-the-nostrils sac, soaked in the same solution as the PH helmet [36]. In effect, it had been tested on humans.
 |
| (photograph by permission of Universal History Archive \ UIG) |
The comparable German model was a nosebag that covered both nose and mouth [36]. The donkey in German Soldiers and Donkey (Figure 1)[1] appears to be wearing a 1915 German GM-15 Gummimaske [rubber mask] gas mask intended for humans [39], a common practice prior to the development of animal-specific ones [40]. Note the eyepieces cover the donkey’s nares.
United States patterns were disastrous, fully exhausting a merely trotting horse. Subsequent revisions also proved futile [36].
Dogs, bird carriers, and other animals also wore masks which protected against Cl2, but, of course, failed universally against mustard [18]. Direct contact with gas residue induced blistering: lips from drinking tainted water; leg, heel, hoof, and frog (a vital anatomical area of the hoof) from treading on it [18,41]. Simply leaving a gassed area was superior to lingering to properly put the gas mask on an animal. Splitting animal groups into smaller subgroups also helped survival, as did construction of anti-bomb walls within stables [18].
The main causes of death for horses and mules were contagious diseases, exhaustion, non-gas combat wounds, accidental injuries, and respiratory diseases [18,42]. There were 2.5 million admissions of horses and mules to BEF Veterinary Hospitals and Convalescent Depots, of which 1.9 million were cured (76%) [42].
The “chief animal plague of active service” was mange, for which the British established a network of dedicated mange hospitals [43]. In some weeks, mange infected nearly 4% of horses and 2% of mules [18]. The British opted to treat and prevent with repeated immersions in a dipping bath of calcium sulfide (CaS) [18,43]. The French preferred gaseous sulfurous acid (H2SO3), administered in a special stable that prevented inhalation of fumes by sealing off the body [44]. Camels were devastated with annual BEF population losses of 30% [45].
The Poisonous Cloud [32], by Lutz (contraction of: LUdwig friTZ) Haber, analyzed the chemists, chemistry, weapons, casualties, deaths, political, philosophical, and other aspects of gas warfare in the Great War. (Hereafter, Haber’s first names are used for clarity.)
Lutz (1921-2004) was the son of Fritz (1868–1934) and his second wife, Charlotte Nathan (1889-1979). The first wife, Clara Immerwahr (1870-1915), was the first woman to acquire a Ph.D. in chemistry in Germany. She was profoundly impacted by the specter of gas warfare and its associated animal testing [33]; she tried to dissuade Fritz [33,46]. On 02 May 1915, only days after his return from the Cl2 cloud at Ypres, she committed suicide by shooting herself in the heart with his army pistol in their garden [47].
In 1917, Fritz married Charlotte, a club business manager, and divorced in 1927 [33]. They had two children, Eva Charlotte and Lutz. Owing to enormous cultural and professional pressures, Fritz, Clara, and Charlotte earlier had independently converted from Judaism; nonetheless, were considered Jewish by Nazi Germany. In 1933, Fritz was ordered to dismiss 12 Jewish scientists on his staff [33,48]. He refused, facilitated non-German employment for those scientists [46], submitted a delayed resignation [46], and fled to Switzerland. Fritz had already had Charlotte, Eva Charlotte, and Lutz escape to Lausanne.
In The Poisonous Cloud, Lutz lamented that later writers had merely echoed data from old publications without performing their own investigative research [32]. In contrast, Lutz directly accessed original papers and procured recollections from Sir Harold Hartley (1878-1972). Hartley was a surviving Great War Brigadier-General, who had headed the Chemical Warfare Department in the British Ministry of Munitions [49]. Among the documents was one which had recorded German gas shell bombardment data.
Gas Shell Casualty Statistics, September, 1918
Gas shell bombardments and casualties surveys had been a monthly feature in the BEF report, “Hostile Gas Activity,” compiled by Hartley’s department, copies of which were preserved among his papers. The September 1918 data, with 55 such attacks, was plotted in The Poisonous Cloud (Diagram 11.1, p. 283) [32].
The horizontal axis is the number of gas shells (nshells) in the German bombardment; the vertical axis is the resultant BEF casualties (casualties). Some extreme points were listed in a text box.
Sometimes multiple bombardments had identical nshells and casualties. Each data point is represented by a dot, encircled dot, or x, corresponding to one, two, or five observations, respectively. This number (count) weighted the data. Plotted values were extracted by two methods: roller ruler and pdf coordinate measurement.
The roller ruler method, in which a roller ruler is placed on a printout of the scanned physical book copy, has the advantage of handling any non-perpendicular aspects by generating parallel lines that intersect an axis. However, reading that intersection requires interpolation which introduces inaccuracy.
The pdf method, in which the coordinates of each data point are directly read from an open pdf file, has the advantage of inherent precision. Such a pdf is either a scanned copy of the physical book or the publisher released digital version; both require a good original page. For unknown reasons, the published digital graph was slightly rotated or distorted.
The recorded values were from roller ruler, pdf scan, and pdf digital publication; the reconstructed value was defined as the mean of the three. Frequently, a coordinate measurement was exact because the point fell precisely on a grid mark. This occurred for 76% (42/55) of the observations (29 nshells only, 13 both nshells and casualties).
Quality control (QC) included frequency distributions, descriptive statistics, and examination for typographical errors. Upon review, two errors in the original data were discovered, with reconstructed data then remediated as indicated.
First, the minimum casualty: nshells ratio was given as 1:5. In fact, the minimum was 1:5 for nshells ≥1000, but about 1:1 for nshells<1000. This is information is interesting for partitioning (discussed later) but required no emendations.
Second, although N=55 for the September 1918 bombardments, a tally revealed that only 54 appeared in the diagram! The graph combined with the inset textbox totaled the reported 52 nonzero observations, but only two zeros; one zero is missing. Given the careful assignment of point markers, it seems more likely that a point is missing, rather than an encircled dot incorrectly rendered as a dot. Because zero casualties is most likely associated with the smallest possible nshells, the missing point is assigned the value of nshells=100. This is consistent with the original regression (to be introduced as equation 0 [EQN00]) and that 83.3% of the non-missing observations (45/54) are multiples of 100. Zero nshells would not have been a bombardment, at all.
Two additional reconstructed data observations were edited. The book summary table indicated that the nshells to casualty ratio was bimodal for 10 and 20, but pre-QC reconstructed data were unequal (n=7 and n=5). Two observations were extremely close to ratio=20; adjusting those coordinates by <3% each aligned the modes.
Lutz fit the original data with a first-order linear regression model (equation 0 [EQN00]),
hereafter referred to as regrHABER, Figure 2, Table 1) (N=55, R2=0.27). Correlation between casualties and nshells was 0.533.
 |
This plot shows the original data from The Poisonous Cloud and original regression (EQN00, regrHABER), first order regression after removing outliers (EQN02, regrN49), and EQN02 95% confidence interval. EQN01 (regrN55REPRO) is nearly superimposable over EQN00 and EQN02, and therefore not shown.
|
Though not published, the F-statistic and p-value are facilely derivable as F=18.83 and p<0.001, as calculated from the N and R2. The R2=0.27 value is interpreted as explaining 27% of behavior. The positive value of the nshells coefficient reflects the positive correlation with casualties, confirming the addition of the nshells=100 casualties=0 value appended in QC (see above).
Using the reconstructed data, the analogous reproduced regression model is quite similar (equation 1 [EQN01], regrN55REPRO, no figure, Table 1) (N=55, R2=0.244 F=17.146 p<0.001).
Both coefficients of EQN00 lie within the 95% confident intervals (95% CI) for those of EQN01. Correlation is 0.4944, within 10% of published. These similarities are consistent with a sufficiently accurate data reconstruction.
Lutz concluded that the data was deficient. The independent variable, nshells, was the tally of the number of newly created shell craters by day, or bursts spotted by night; hence, both imprecise and inconsistent. Consequently, it is especially important to identify any outliers for possible removal.
The confidence interval bands from EQN01 were examined for outliers. Not visually obvious, six such observations were conspicuous relative to the 95% CI. After removing them, a first-order linear regression analysis was performed on the reduced dataset (equation 2 [EQN02], regrN49, Figure 2, Table 1) (N=49, R2=0.496 F=46.301 p<0.001). The six outliers fall outside the 95% CI from EQN02, validating their removal. The correlation coefficient rises by nearly half to 0.7044.
The Poisonous Cloud provided some descriptive statistics for the ratio, nshells to casualties. This measure automatically reduced N by three, to 52 from 55, having removed those undefined due to zero casualties in the denominator. Using the reconstructed data, mean=58.10 is not statistically different from the published mean=54 (t=0.151, p-value=0.880). If Lutz had incorrectly used N=55, then the mean would have been 57.11 with N=52.
However, the inverse ratio, nshells to casualties, does not suffer from such limitation. All bombardments have some positive number of shells in the denominator.
For numerical ease, ratiox100 is defined as nshells/casualties multiplied by 100. After removal of outliers, meanratiox100=10.27 (stddev=17.42, N=49). Additional insights are gained by performing regression analysis on ratiox100 as a function of nshells. The best fit is a linear model with nshells-1 (equation 3 [EQN03], regrRATIO, Figure 3, Table 1) (N=49, R2=0.556 F=61.006 p<0.001).
 |
This plot shows the original data and inverse regression (EQN03, regrRATIO). Negative minimum axis values allow viewing at and near 0.
|
Over the observed nshells values, the difference between the maximum predicted ratiox100, ratiox100max,pred of 61.84 (at nshellsmin=53.45) and ratiox100min,pred=3.99 (at nshellsmax=10000), gives a range of 57.86. It is useful to determine the value of nshells for which ratiox100 fell by 95% of this range, a drop of 54.96 (.95x57.86) to 6.88 (61.84-57.86). From EQN03, nshells=970.38 when ratiox100=6.88. The 5% remaining change in ratiox100 for nshells values to 10000 is small enough to consider as essentially constant.
Therefore, partitioning for nshells<1000 is possible. The mean ratio for the nshells<1000 group is 2.94x that of the nshells≥1000 group (Kolmogoroff-Smirnoff KS=0.3857, 1-sided p-value=0.032). The minimum ratios for each group also differ (see above). On this basis, the dummy variable, D, is defined as D=1 for nshells<1000, and D=0
otherwise.
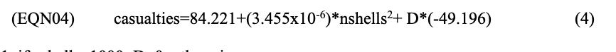
To determine the best regression, models were considered with transformations of both the independent and dependent variables: higher order powers, inverse, logarithmic, and exponentials. Additionally, the possibility of two entirely different models for each side of the nshells=1000 partition was reviewed but rejected. The final model is second-order and includes the dummy variable (equation 4 [EQN04], regrFINAL, Figure 4, Table 1) (N=49, R2=0.619 where, D=1, if nshells<1000; D=0, otherwise F=37.408 p<0.001).
The model has two limits at the partition of nshells=1000: approaching from <1000 equals 38.48; from >1000, 87.68. The R2=0.619 corresponds to the model explaining 61.9% of behavior.
Discussion & Conclusions
Total combined casualties, animal and human, gas and non-gas, all belligerents, exceeded 36 million in the Great War. An astonishing 20% of the worldwide equine population, 16 million of an estimated 79.25 million [18], was subjugated into service. In the aftermath, there were some positive developments, including the stoppage of scientists and artists placed in direct combat, renewed attempts to ban chemical warfare, and the rise of animal rights.
At the outset of the war, the Royal Society for the Prevention of Cruelty to Animals (RSPCA) offered its services to the British War Office and was rejected. Unfazed, the RSPCA contributed horse ambulances, saddle pad knitters, and 90 inspectors. Soon thereafter, the existent BEF Army Veterinary Corps proved inadequate and the rejection was retracted. Thus started a comprehensive partnership that lasted even after the war [15]. Of note, socially and politically, women’s suffrage and animal rights were often coupled, to the advancement of both [50].
Efforts were made to control populations of unwelcome animals. Blausäure (hydrogen cyanide, HCN) was effective, though dangerous, for controlling rodent populations in trenches, flour mills, and railroad cars [48,51]. France even tried to use HCN as a weapon, though unsuccessfully. Fritz Haber led the German anti-rodent research and, after the war, transferred Blausäure activities to DEutsche GEsellschaft für SCHädlingsbekämpfung [German Society for Pest Control, acronym: Degesch]. Degesh then developed HCN-based Zyklon and Zyklon B [51]. In the Holocaust, Zyklon B was used to murder millions of Jews. “Members of Fritz Haber's extended family, children of his sisters and cousins, were hauled to those camps and killed, poisoned by the fruit of their famous relative’s research” [33]. The sisters of Sigmund Freud and Franz Kafka also met their fate in the gas chambers. Once again, international bans on poisonous gases proved ineffective.
After Fritz fled Nazi Germany, he met with chemist and future first president of Israel, Chaim Weizmann, and discussed research and Zionism. Weizmann was founding The Daniel Sieff Institute in Rehovot in Mandatory Palestine (now, Weizmann Institute of Science in Rehovot, Israel). Fritz envisaged pensively, telling Weizmann, “When I am gone and forgotten your work will stand, a shining monument, in the long history of our people.” Weizmann offered him a position with assurance of “peace and honor. It will be a return home for you - your journey’s end,” which Fritz “accepted with enthusiasm” [52]. This was not to be; en route Fritz suffered a fatal heart attack [46]. However, his books did make it there; the bequest became the Institute’s first library [53,54,46]. Albert Einstein, a great friend since before the Great War, wrote in later correspondence: “It was the tragedy of the German Jew: the tragedy of unrequited love” [33].
A protest banner at a 1968 commemoration of Fritz’s birth centennial read: “Feier für einen Mörder/Haber = Vater des Gaskriegs” [Celebration for a Murderer/Haber = Father of Gas Warfare]. Lutz was in attendance and, in time, took the incident to heart. He expanded his visits with Sir Harold Hartley, who by 1970 was living in a nursing home, sharp though fatigued. The collaboration was foundational to The Poisonous Cloud [32].
Summary statistics reveal the underlying reality: 4484 casualties, 85,583 gas shells - a rate of one casualty per 19 gas shells. The estimated gas mortality rate for 1918 was 2.37% [32], which computes to 106 expected deaths. This is close to one published actual value of 116 for September 1918 [55].
There were data shortcomings alluded to in The Poisonous Cloud. The dependent variable, number of casualties, was recorded at Regimental Aid Posts, which were located as close to the front lines as possible, some of which were associated with a Chemical Warfare Section [56]. Patients were counted by virtue of having been medically treated there, but this system excluded gassed combatants killed at the front or captured prisoner. In contrast, equine gas deaths were accurately counted because the horseman documented the cause of death, even those at the front [57]. It does appear, though, that gassed horse-rider duos captured together would not have been counted.
The data recorded only the larger bombardments, however the cutoff was lost. Some important data pertaining to individual bombardments was missing: exact shell contents, rate and duration of fire, and expanse and combatant population of target [32]. Other additional variables that would have enhanced the statistical analysis pertain to gas mask efficacy, supply-chain of gas shells, and Spanish flu.
Mask and anti-gas training reduced the anxiety responsible for the mask removal that created hapless, maskless victims. Prior gas encounters also reduced casualties [58]. Additionally, inadequate human diets caused weight loss, which compromised the seal of the mask, allowing gas to enter [37].
The SBR was an assemblage of 195 parts from over 160 manufacturers [32]! Despite well-orchestrated QC [32], two studies cited by Cook (1998) found failure rates of 25% (N=1082) and 26% (N not cited), respectively [37]. Germany reported 11.5% (N=839) of their masks failed in a survey conducted after the wind reversed direction, turning their chlorine cloud against themselves [59]. Several variables would improve analysis: mask failure rates for BEF and Germany, training, experience, and diet.
The Air Service, American Expeditionary Forces conducted air raids of German railroads and chemical manufacturers. Cl2 and phosgene manufacturer Badische Anilin und Sodafabrik (BASF) was bombed twice in September 1918 [60,61]. Unperturbed availability of gas and materiel to the front would have improved attacks; thus, some measure of supply flow would be useful.
The Spanish flu, first observed in January 1918 [62], was acknowledged on the battlefield as early as May 1918. At the front, it was then considered possibly related to gas mortality [55], and also seems a probable concomitant factor for morbidity. Therefore, variables with Spanish flu incidence, prevalence, and severity would be beneficial for analysis.
Étaples, France was the BEF central depot for humans, horses, and equipment; over 300 trains and 100k combatants traversed daily. En route to the front were fresh draftees, remounts, and arms [63]; returning from the front for reassignment were casualties and survivors of ravaged battalions [63,64]. Approximately 20 hospitals with 22k beds treated up to 40k humans per month [63]; the Neufchatel Veterinary Hospital, with a 1700 animal capacity [65], treated 23k horses, total [66]. Pigs, ducks, geese, and chickens lived in Étaples [67]. Overarching were gas warfare and contamination, including known mutagen, mustard [67]. In 1918, one Canadian newspaper report that “hospitals were drenched with enemy gas,” obfuscated the exact location due to wartime censorship; however, the description matched Étaples [68]. Humans were malnourished and overcrowded, “comme des sardines” [like sardines] [63], and a landfill graced the base. Wilfred Owens, the British war poet killed in the Great War just one week before the Armistice, wrote of “a vast, dreadful encampment,” where human faces were “without expression, like a dead rabbit’s” [69]. These adverse conditions were ideal for formation of a reassortant virus within the porcines [67]. Transmission from pigs was likely assisted by continuously present mallard ducks, whose migration was altered by a 1914-1919 climate aberration of torrential rains and cold [70]. Peace, with its ensuing repatriation, facilitated spread of the Spanish flu [67].
A century later, zoonoses continue to plague the world. As with Étaples, pigs, birds, horses, and live animal markets are implicated [71,72]. Generally, viral transmission occurs in sequence: natural host animal, intermediate host animal, human [72]. The pre-human pathways appear to be: COVID-19 (Coronavirus (COV) Disease 2019, virus SARS-CoV-2), horseshoe bat to pangolin; SARS (Severe Acute Respiratory Syndrome, SARS-CoV), horseshoe bat to raccoon dog and masked palm civet; MERS (Middle East Respiratory Syndrome, MERS-CoV), Egyptian cave bat to dromedary camel [72].
Swine flu in pigs (influenza A virus subtype H1N1) appeared shortly after Spanish flu (H1N1) was first described with similar symptoms and mortality [73,71]. Swine flu in humans (H1N1) also appears to have descended from Spanish flu [73] via a cycle of pigs, birds, and farm animals [74].
The mean ratiox100 for nshells<1000 was triple that for nshells≥1000. The corresponding dummy variable, D, was statistically significant in the final regression (EQN04, regrFINAL, Figure 4). Such a partition could reflect fundamentals.
 |
This plot shows the original data and final second order linear regression model with dummy variable, D (EQN04, regrFINAL).
|
One explanation is that the lower part corresponds to direct hits on a small concentrated group, whilst the upper part corresponds to an unlimited supply of gas shells. There should be a limit of primary casualties equal to the population in the targeted zone, but that data is unavailable.
The Poisonous Cloud concluded that “the explanatory value of the number of shells as a cause of casualties is relatively low,” apparently based upon the low R2=0.27 of the original model (EQN00, regrHABER, Figure 1, Table 1) and suboptimal data quality. The new final model (EQN04, regrFINAL, Figure 3, Table 1) benefits from removal of outliers, a second-order term for nshells, and the dummy variable. The final regression explains 61.9% of the behavior of casualties as a function of number of shells in a bombardment, more than twice the original.
References
- German Soldiers and Donkey Wearing Gas Masks During World War One [Photograph], Universal History Archive \ UIG, 1915.
- Marc F, The Birth of Horses (Geburt der Pferde) [Woodcut print], Los Angeles County Museum of Art, Los Angeles, CA, United States, 1913. Woodcut printed in black, red, rose, and green on Japan paper. Image: 8 1/2 x 5 3/4 in. (21.5 x 14.6 cm); Sheet: 13 1/2 x 9 7/8 in. (34.3 x 25.1 cm). The Robert Gore Rifkind Center for German Expressionist Studies (M.82.288.204)
- Placard for The Birth of Horses (Geburt der Pferde) at Fantasies and Fairy Tales [Exhibition], Los Angeles County Museum of Art, Los Angeles, CA, United States, 2018-2019. https://www.lacma.org/art/exhibition/fantasies-and-fairy-tales
- Marc F, Lankheit K in Schriften, DuMont, Köln, 1978.
- Pollmann I in The Interweaving of World and Self: Transformations of Mood in Expressionist and Kammerspiel Film, Amsterdam University Press, Amsterdam, 2018, In Cinematic Vitalism, pp 163-206. doi:10.2307/j.ctv5nph05.7
- Marc F, Tale of Creation - Genesis II, Joy of Museums Virtual Tours. https://joyofmuseums.com/museums/united-states-of-america/san-francisco-museums/san-francisco-museum-of-modern-art/tale-of-creation-by-franz-marc/
- Roßbeck B in Franz Marc: Die Träume und das Leben - Biographie, Siedler Verlag, 2015.
- Newark T in Camouflage, Thames & Hudson, London, 2007.
- Simmons W. Abstraction and Empathy on the Eve of World War I. Konturen, 2013, 5, 3-30. doi:http://dx.doi.org/10.5399/uo/konturen.5.0.3246
- Horswell E in Rembrandt Bugatti: Life in Sculpture, Sladmore Gallery Editions, London, 2004.
- Murray GE in Arts of a Cold Sun - Poems, University of Illinois Press, 2003, “Bugatti's Zoo”, pp 25–26. JSTOR, https://www.jstor.org/stable/10.5406/j.ctt2ttcw4.20 Accessed 17 Sept. 2020.
- Musée d'Orsay, Collections catalogue - search results, n.d. Retrieved November 9, 2020, from https://www.musee-orsay.fr/en/collections/index-of-works/resultat-collection.html?no_cache=1&zsz=1&zs_r_2_z=3&zs_r_2_w=Bugatti%2C%20 Rembrandt&zs_ah=oeuvre&zs_rf=mos_a&zs_mf=21&zs_sf=0&zs_send_x=1&zs_liste_only=1.
- Bernstein J, Ph.D. Dissertation, Where Beasts’ Spirits Wail: The Great War and Animal Rights, University of Southern California (Literature and Creative Writing), 2014.
- Singleton J, Britain's Military Use of Horses 1914-1918, Past & Present, 1993, 139(1), 178-203.
- Cooper J in Animals in War, Corgi, London, 2000.
- Roberts P, Cats in Wartime, 2006. http://www.purr-n-fur.org.uk/featuring/war01.html
- Suriano MG, Animals in the Great War, Associazione culturale Se, case studies|Se, 2017. https://associazioneculturalese.com/case-studies/gli-animali-nella-grande-guerra/
- Moore J in Army Veterinary Service in War, Brown, London, 1921.
- Turner A in Messines, 1917: The Zenith of Siege Warfare, Osprey Publishing, Oxford, 2010.
- National Geographic, WORLD WAR 1 FACTS, National Geographic Kids, n.d. https://www.natgeokids.com/uk/discover/history/general-history/first-world-war/
- Bulanda S in Soldiers in Fur and Feathers: The Animals That Served in World War I - Allied Forces, Alpine Publications, Crawford, CO, 2014.
- Schäfer ED, “Animals, Use of”, in The European Powers in the First World War: An Encyclopedia, eds. Spencer Tucker, Laura Matysek Wood, Justin D. Murphy, 1996, pp 52-54.
- Miller RG, Like a Thunderbolt: The Lafayette Escadrille and the Advent of American Pursuit in World War I, Air Force History and Museums Program, Washington, D.C, 2007.
- Guttman J in SPA 124 Lafayette Escadrille: American Volunteer Airmen in World War I, Osprey Publishing, Oxford, 2004.
- Flood CB in First to Fly: The Story of the Lafayette Escadrille, the American Heroes Who Flew for France in World War I, Grove Press, 2016.
- Jablonski E in Warriors with Wings: The Story of the Lafayette Escadrille, Bobbs-Merrill, Indianapolis, 1966.
- Great Britain, Statistics of the Military Effort of the British Empire During the Great War: 1914-1920, H.M. Stationery Office, London, U.K., 1922.
- Croddy E, Perez-Armendariz C, Hart J in Chemical and Biological Warfare: A Comprehensive Survey for the Concerned Citizen. Springer New York, New York, NY, 2002.
- Carnegie Endowment for International Peace, & International Peace Conference in Conférence Internationale de la Paix, 1899, Les Conventions et Déclarations de La Haye de 1899 et 1907, ed. J. B. Scott, Oxford University Press, New York etc, 1918.
- One Hundred Years of Chemical Warfare: Research, Deployment, Consequences, eds. Bretislav Friedrich, Dieter Hoffmann, Jürgen Renn, Florian Schmaltz, Martin Wolf, Springer, 2017.
- Trumpener U. The Road to Ypres: The Beginnings of Gas Warfare in World War I. J. Mod. Hist., 1975, 47(3), 460-480. Retrieved August 26, 2020, from http://www.jstor.org/stable/1876002.
- Haber LF in The Poisonous Cloud: Chemical Warfare in the First World War, Clarendon Press, Oxford [Oxfordshire], 1986, Appendix: A Statistical Note on Gas Shells and Casualties in the BEF, pp 283-284, and see generally.
- Charles D in Master Mind: The Rise and Fall of Fritz Haber, the Nobel Laureate Who Launched the Age of Chemical Warfare, Ecco, New York, 2005.
- Prentiss AM, Fisher GJB in Chemicals in War: A Treatise on Chemical Warfare, McGraw-Hill Book Co, New York, 1937.
- Kohn S, Meyendorff, A in The Cost of the War to Russia: The Vital Statistics of European Russia During the World War 1914‑1917, Yale University Press, New Haven, 1932.
- Moore W in Gas Attack!: Chemical Warfare 1915-18 and Afterwards, Cooper, London, 1987.
- Cook T. Through Clouded Eyes: Gas Masks and the Canadian Corps in the First World War. Mater. Hist. Rev., 1998, (47), 4-18.
- Gas Masks for the War’s Horses. Sci. Am., 1918, 118(5), 103-103.Retrieved September 18, 2020, from http://www.jstor.org/stable/26024062.
- Catfish. The GM-15 (Gummimaske) 1916. Germany’s First WWI Gas Mask. - Civilian Military Intelligence Group [Blog post], 2017, July 18. Retrieved from https://civilianmilitaryintelligencegroup.com/23088/gm-15-gummimaske-1916-germanys-firt-wwi-gas-mask.
- War Is Boring. Chemical Warfare Hell: Even Horses Needed Gas Masks During World War I [Blog post], 2019, April 2. Retrieved from https://nationalinterest.org/blog/buzz/chemical-warfare-hell-even-horses-needed-gas-masks-during-world-war-i-50232.
- United States, Bancroft WD, Bradley HC, Eyster JAE, Gilchrist HL, Goldschmidt SA, Hanzlik PJ, ... Wilson DW in The Medical Department of the U.S. Army in the World War, G.P.O., Washington, 1926, vol XIV.
- Blenkinsop LJ, Rainey JW in Veterinary Services, H.M. Stationery Office, London, U.K., 1925.
- Smith F. THE WORK OF THE BRITISH ARMY VETERINARY CORPS AT THE FRONTS. J. R. Soc. Arts, 1918, 67(3449), 80-92. Retrieved September 18, 2020, from http://www.jstor.org/stable/41347860.
- Moore L in Animals in the Great War: rare photographs from wartime archives, Pen & Sword Military, Barnsley, U.K., 2017.
- Pirie-Gordon H, Allenby EHHA in A Brief Record of the Advance of the Egyptian Expeditionary Force Under the Command of General Sir Edmund H. H. Allenby, G. C. B., G. C. M. G., July 1917 to October 1918, H.M. Stationery Office, London, U.K., 1929.
- Goran M in The Story of Fritz Haber, University of Oklahoma Press, Norman, 1967.
- King G. Fritz Haber’s Experiments in Life and Death. Smithsonian Magazine, June 6, 2012. https://www.smithsonianmag.com/history/fritz-habers-experiments-in-life-and-death-114161301/
- Freemantle M in The Chemists’ War: 1914-1918, Royal Society of Chemistry, Cambridge, 2015.
- Ogston AG. Harold Brewer Hartley, 1878-1972. Biogr. Mem. Fellows R. Soc., 1973, 19, 349-373.
- Kean H in Animal Rights: Political and Social Change in Britain Since 1800, Reaktion Books, London, 1998.
- Hayes P in From Cooperation to Complicity: Degussa in the Third Reich, Cambridge University Press, Cambridge, U.K., 2005.
- Weizmann C in Trial and Error: The Autobiography of Chaim Weizmann, Harper, New York, 1949.
- Weizmann Institute of Science, Library. Haber Collection, 2020 October 15. https://weizmann.primo.exlibrisgroup.com/discovery/collectionDiscovery?vid= 972WIS_INST:972WIS_V1&collectionId=8123966930003596
- Dunner, J in The Republic of Israel, Its History and Its Promise, Whittlesey House, New York, 1950.
- MacPherson WG, Balfour A, Elliott TR, Herringham WP, Macpherson WG in Medical Services: Diseases of the War, H.M.S.O, London, 1923, vol 2.
- Vedder EB in The Medical Aspects of Chemical Warfare: with a Chapter on the Naval Medical Aspects of Chemical Warfare, Williams & Wilkins, Baltimore, 1925.
- Van der Kloot W. April 1915: Five Future Nobel Prize-Winners Inaugurate Weapons of Mass Destruction and the Academic-Industrial-Military Complex. Notes Rec. R. Soc. London, 2004, 58(2), 149-160. Retrieved September 1, 2020, from http://www.jstor.org/stable/4142047.
- Jones E. Terror Weapons: The British Experience of Gas and Its Treatment in the First World War. War History, 2014, 21(3), 355–375. JSTOR, https://www.jstor.org/stable/26098580. Accessed 11 Nov. 2020.
- Foulkes CH in Gas!: The Story of the Special Brigade, Naval & Military Press, East Sussex, 2012.
- Maurer M in The U.S. Air Service in World War I, Albert F. Simpson Historical Research Center, Maxwell AFB, Ala., 1978, vol 4.
- BASF, Toxic Gas Production During World War I, n.d. https://www.basf.com/global/en/who-we-are/history/chronology/1902-1924/1914-1918/giftgasproduktion-im-ersten-weltkrieg.html
- Barry JM. The Site of Origin of the 1918 Influenza Pandemic and Its Public Health Implications. J. Transl. Med., 2004, 2, 3. https://doi.org/10.1186/1479-5876-2-3
- Office de Tourisme d’Étaples-sur-mer, Sur le chemin de la Première Guerre, 2015. https://www.tourisme-etaples.com/wp-content/uploads/2015/12/On-the-path-of-the-First-World-War.pdf
- Gill D, Dallas G. Mutiny at Etaples Base in 1917. Past & Present, 1975, (69), 88-112. Retrieved October 18, 2020, from http://www.jstor.org/stable/650297.
- Krenzelok G, THE ARMY VETERINARY SERVICE DURING THE GREAT WAR, WW1, n.d. rootsweb. http://freepages.rootsweb.com/~gregkrenzelok/genealogy/veterinary%20corp%20in% 20ww1/veterinary%20corp%20in%20ww1.html
- Krenzelok G. (n.d.). U.S. VETERINARY HOSPITAL NO. 6 NEUFCHATEAU, FRANCE WW1. rootsweb. http://freepages.rootsweb.com/~gregkrenzelok/genealogy/veterinary%20corp %20in%20ww1/vchospno6franceww1.html
- Oxford JS, Lambkin R, Sefton A, Daniels R, Elliot A, Brown R, Gill D. A Hypothesis: The Conjunction of Soldiers, Gas, Pigs, Ducks, Geese and Horses in Northern France During the Great War Provided the Conditions for the Emergence of the “Spanish” Influenza Pandemic of 1918-1919. Vaccine, 2005, 23(7), 940-945. ISSN 0264-410X, https://doi.org/10.1016/j.vaccine.2004.06.035.
- Canadian Great War Project, Extracts from the News, “Canadian Nurses Heroic Under Fire,” Crag & Canyon [Banff, Alberta], Saturday, July 13, 1918, transcribed by: M. I. Pirie. http://canadiangreatwarproject.com/transcripts/transcriptDisplay.asp?Type=N&Id=815
- Owen W, Owen H, Bell J in Collected Letters, Oxford University Press, London, 1967, pp 520-521.
- More AF, Loveluck, CP, Clifford H, Handley MJ, Korotkikh EV, Kurbatov AV, et al. The Impact of a Six-Year Climate Anomaly on the “Spanish Flu” Pandemic and WWI. GeoHealth, 2020, 4(9), e2020GH000277. https://doi.org/10.1029/2020GH000277
- Brown IH. The Epidemiology and Evolution of Influenza Viruses in Pigs. Vet Microbiol., 2000, 74(1-2), 29-46. doi: 10.1016/s0378-1135(00)00164-4. PMID: 10799776.
- Ye ZW, Yuan S, Yuen KS, Fung SY, Chan CP, Jin DY. Zoonotic Origins of Human Coronaviruses. Int. J. Biol. Sci., 2020, 16(10), 1686–1697. https://doi.org/10.7150/ijbs.45472
- Weingartl HM, Albrecht RA, Lager KM, Babiuk S, Marszal P, Neufeld J, Embury-Hyatt C, Lekcharoensuk P, Tumpey TM, García-Sastre A, Richt JA. Experimental Infection of Pigs with the Human 1918 Pandemic Influenza Virus. J. Virol., 2009, 83(9), 4287–4296. https://doi.org/10.1128/JVI.02399-08.
- Fong IW in Emerging Zoonoses: A Worldwide Perspective (Emerging Infectious Diseases of the 21st Century), Springer, 2017.
|